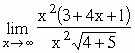
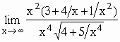
Необходимо вынести x в максимальной степени в числителе и знаменателе дроби .
Выполните это действие и укажите верный ответ.
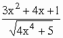
.
Назад | В начало | Дальше