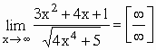
- неопределенность.
Укажите способ избавления от этой неопределенности.
Вынести в числителе и знаменателе x в максимальной степени.
Разложить многочлены на множители и упростить дробь.
Назад
|
В начало
|
Дальше