Часть II. Вычисление пределов функций с помощью правила Лопиталя-Бернулли.

Правило 7.

Правило Лопиталя-Бернулли:  , т.е. предел отношения функций, стремящихся одновременно к бесконечности или к нулю (являющихся одновременно бесконечно большими или бесконечно малыми), равен пределу отношения их производных.

Правило 8.

Если при вычислении получается неопределенность типа , то можно использовать правило Лопиталя, преобразовав предварительно выражение следующим образом: или .

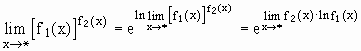
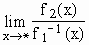
Правило 9.

Если при вычислении получается неопределенность одного из следующих типов , , , то можно использовать правило Лопиталя, преобразовав предварительно выражение следующим образом: , где вычисляется по Правилам 7, 8 . В некоторых случаях полезно комбинировать правило Лопиталя-Бернулли с элементарными тождественными преобразованиями, рассмотренными в части I.