Определение: Эллипсом называется множество точек плоскости, сумма
расстояний которых до двух данных точек, называемых фокусами
и
есть величина постоянная
(ее обозначают через 2*а ). Причем эта постоянная больше расстояния между фокусами.
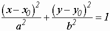
Если оси координат расположены по отношению к эллипсу так, как показано на
рисунке 1, а фокусы эллипса находятся на оси
на равных расстояниях от начала координат в точках
то получится простейшее(каноническое) уравнение эллипса:

Здесь
- большая,
- малая полуоси эллипса, причем
и
(
- половина расстояния между фокусами) связаны соотношением
![]()
(так как
, то
)
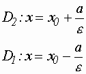
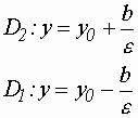
Прямые:
и
перпендикулярные главной оси и проходящие на расстоянии
от центра, называются директрисами эллипса.
;
- центр.
| 1) |
2) |
![]() |
![]() |
- эксцентриситет.
- эксцентриситет.
