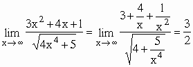
Получили ответ:
.
Назад
|
В начало
|
Дальше