Задача 1
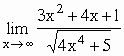
Вычислите предел:
.
Назад
|
В начало
|
Дальше